Online Calculator

Engineering Unit Converter

Convert common electronics and PCB units.

Engineering Unit Conversion: formula and explanation

Engineering work often requires converting between PCB, RF and metric units.

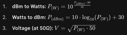
converted value = value × factor

How this calculator works

The calculator applies the formula above to the values entered in the form and returns the calculated engineering result instantly.

Where it is used

Use this for mm, inches, mils, Hz, MHz and related electronics units.

Important note

This online calculator is intended for fast engineering estimates. For production hardware, verify the result with datasheets, manufacturer recommendations and real measurements.

How to use the Engineering Unit Converter

Convert common PCB, RF and electronics units. This tool is designed for fast electronics engineering estimates directly in the browser.

Engineering workflow

Enter the known values, press Calculate and compare the result with your design requirements. For reliable hardware, always check component datasheets, tolerances, temperature limits and manufacturer recommendations.

Practical applications

  • Quick circuit design checks
  • PCB and prototype calculations
  • Embedded and power electronics development
  • Educational electronics examples

FAQ

Is this calculator suitable for production design?
It is useful for estimates and early design work. Final production designs should be verified with real measurements and datasheets.

Does the calculator work on mobile?
Yes. EngiCalc tools are lightweight, responsive and designed to work on desktop and mobile devices.

Result will appear here.